上海光源中心实验揭示自由电子激光的重要物理过程
自由电子激光具备超快时间分辨、超高空间分辨和超强峰值亮度,是目前最先进的研究工具之一,其出现极大地促进了生命科学、化学、物理学和材料科学等领域的发展。国际上已经先后有8台X射线自由电子激光装置建成,并投入用户科学实验。作为新一代光源,与同步辐射光源不同的是,自由电子激光放大来自于电磁波和相对论电子束在波荡器磁场中持续的相互作用,其中波荡器是一种由成千上万的二极磁场组合成周期性正弦磁场的发光元件。
自由电子激光的三个关键物理过程包括能量调制、电子束微群聚和功率放大。自由电子激光的基本物理过程是:电磁波和电子束之间相互作用导致电子束的能量调制;而能量调制会使电子束团在辐射波长尺度内形成空间密度调制,也被称为微群聚;电子束微群聚会增强自由电子激光功率增长;而放大的自由电子激光功率又进一步增强和加快电子束微群聚的过程。这个正反馈机制是目前所有自由电子激光的物理基础。在以往的自由电子激光装置中,能量调制、电子束微群聚和功率放大,都是在至少积累一段波荡器效果后才能实验观测到。自由电子激光在一个波荡器周期内的物理本质,即电磁波和电子束在二极磁场中的能量交换仍然缺乏直接的测量。

图1、激光和电子束在二极磁铁中的相互作用示意图
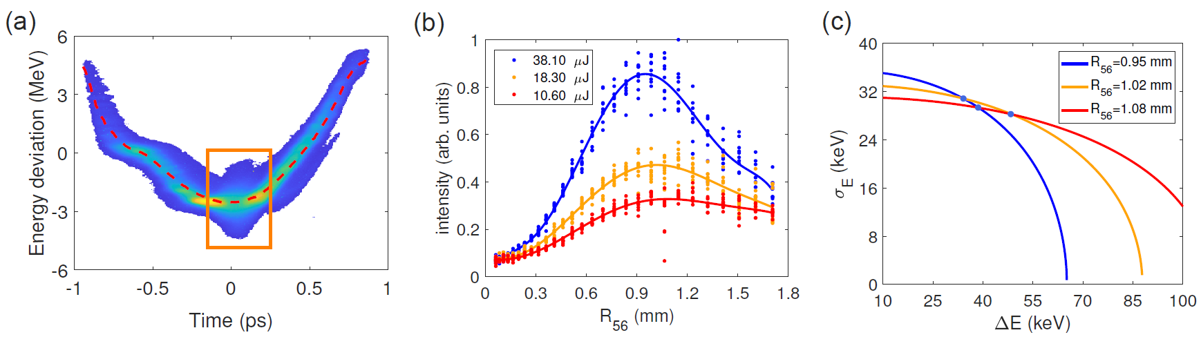
2010年,上海光源中心自由电子激光团队提出了在单个二极磁铁中观测自由电子激光基本过程的实验可行性和相关方案(Nucl. Instr. and Meth. A 622, 508)。经过多年努力,2021年,上海光源中心自由电子激光团队通过实验证明了激光和相对论电子束在单个二极磁铁中的相互作用。基于上海软X射线自由电子激光装置,在单块二极磁铁中,一束266纳米波长的激光被用于调制800兆电子伏特能量的电子束,下游的X波段横向偏转腔直接观察到了激光对电子束相空间的调制,精确测量表明电子束能量调制的幅度为40千电子伏特。此外,实验还进一步证明,二极磁铁中获得的能量调制能够用于驱动外种子型自由电子激光,研究人员利用二极磁铁中的能量调制、结合原创的能量调制的自放大机制(Phys. Rev. Lett., 126,084801),成功实现了种子激光的6次谐波,即44纳米自由电子激光放大出光。

图2、二极磁铁中激光-束流相互作用的实验表征。(a) 与激光相互作用后电子束的纵向相空间。红色虚线代表电子束的中心能量。橙色框中包含了因为相互作用而改变的区域。 (b) 在不同的激光脉冲能量下,电子束通过第一个色散段后测量到的相干辐射强度以及相应的拟合曲线。 (c) 使用相干辐射产生方法来计算能量调制幅度以及电子束团的切片能散。
这个工作完成了探索自由电子激光物理本质的一项重要实验测量,揭示了自由电子激光最基本的物理过程,为研究和利用激光与电子束的相互作用开辟了新的方向。实验结果证明一块简单的二极磁铁可以作为引入电子束能量调制的有效工具,这为开发新型的激光加热系统、适用于等离子体尾波场加速器束流的能量调制、以及未来相干光源的新型波荡器开辟了新的道路。
相关工作以First observation of laser-beam interaction in a dipole magnet为题,2021年7月29日以研究快报形式发表在Advanced Photonics,中国科学院上海应用物理所博士研究生颜佳伟为论文第一作者,赢乐lV邓海啸研究员、赵振堂院士为论文共同通讯作者。据悉,这是短波长自由电子激光领域重要实验成果首次在国内期刊发表,也是Advanced Photonics发表的首篇自由电子激光领域的论文。本项研究得到了国家自然科学基金重点项目、国家重点研发计划项目、中国科学院和上海市的资助支持。
附件下载: